A calibração de instrumentos de medição é um processo fundamental para garantir a confiabilidade e a exatidão dos resultados em diversos segmentos industriais e laboratoriais. Entre os diversos conceitos técnicos envolvidos, a repetibilidade destaca-se por sua importância na avaliação da qualidade das medições realizadas.
Neste artigo, abordaremos o que é a repetibilidade, como ela é calculada e de que forma impacta o resultado final de um certificado de calibração, bem como a incerteza de medição do instrumento.
O que é repetibilidade?
De acordo com o Vocabulário Internacional de Metrologia (VIM), repetibilidade é a proximidade entre os resultados de medições sucessivas do mesmo equipamento, realizadas sob condições repetidas.
Essas condições incluem: mesmo método, mesmo operador, mesmo equipamento, mesmas condições ambientais e medições realizadas em curto intervalo de tempo.
Em outras palavras, repetibilidade é a capacidade de um instrumento ou sistema de medição fornecer medições consistentes quando não há variação significativa nas condições externas.
É importante diferenciar repetibilidade de conceitos próximos:
- Reprodutibilidade: refere-se à capacidade de reproduzir resultados em condições variadas (diferentes operadores, locais, instrumentos).
- Precisão: termo mais amplo que engloba repetibilidade e reprodutibilidade, indicando o grau de dispersão dos resultados das medições.
- Exatidão: mede o quão próximo o resultado de uma medição está do valor verdadeiro do mensurando (aquilo que está sendo medido).
Um exemplo simples ajuda a entender: imagine aplicar uma pressão em um manômetro analógico com um padrão de geração de pressão. Após ler a medição do manômetro, removemos a pressão e após alguns segundos. Em seguida, aplicamos novamente a mesma pressão e lemos a medição do instrumento, sem alterar as condições ambientes e a pessoa que está realizando esse processo.
Após repetirmos esse procedimento várias vezes, teremos um conjunto de medições do instrumento em uma mesma condição. Na teoria, todas as medições deveriam ser iguais, mas na prática haverá variações entre as medições. Quanto mais próximas as medições estiverem entre si, melhor é a repetibilidade do instrumento de medição.
Importância da repetibilidade
A repetibilidade é uma das principais características de desempenho de um instrumento de medição. Ela indica o grau de consistência do instrumento, fundamental para garantir a confiabilidade dos dados coletados em processos produtivos, controles de qualidade e pesquisas laboratoriais.
Sem uma boa repetibilidade, os resultados podem variar de forma inaceitável, comprometendo a tomada de decisões, a conformidade com normas técnicas e até mesmo a segurança de produtos e processos.
Como a repetibilidade é avaliada em calibração?
Nos processos de calibração, a avaliação da repetibilidade é realizada repetindo medições sob condições controladas. O procedimento geralmente envolve:
- Aplicar o mesmo valor de referência a um instrumento (por exemplo, uma pressão de 10 bar em um manômetro, ou uma temperatura de 150 graus Celsius em um termômetro).
- Registrar o valor indicado pelo instrumento em várias repetições.
- Calcular a variação estatística entre os resultados obtidos.
O cálculo mais comum utiliza o desvio padrão (σ) das medições repetidas. Quanto menor o desvio padrão, melhor a repetibilidade do instrumento.
Outro índice importante é o coeficiente de variação (CV) de repetibilidade, obtido pela razão entre o desvio padrão e a média dos valores medidos, expresso em percentual. Esse indicador é útil para comparar instrumentos de diferentes faixas de medição.
Exemplo prático:
- Medições repetidas em um manômetro: 10,01 bar, 9,99 bar, 10,02 bar, 10,00 bar.
- Média: 10,005 bar.
- Desvio padrão: Aproximadamente 0,013 bar.
- Coeficiente de variação (CV): Aproximadamente 0,13 %
Como a repetibilidade é calculada?
A medição da repetibilidade envolve realizar múltiplas medições da mesma variável, sob as mesmas condições, e analisar a dispersão dos resultados. O cálculo da repetibilidade pode ser feito por meio de diferentes abordagens estatísticas, dependendo do contexto e do rigor requerido.
Método comum: cálculo pelo desvio padrão
Uma forma prática é medir repetidamente a mesma grandeza e calcular o desvio padrão (σ) dos valores obtidos. O desvio padrão representa o grau de dispersão dos dados em relação à média, sendo um indicativo do quanto os valores variam entre si.
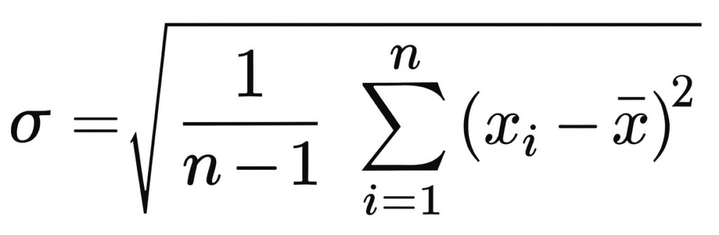
A fórmula para calcular o desvio padrão das medições x1,x2,…,xn é:

Onde x̄ é a média dos valores medidos.
Uma repetibilidade menor indica que os valores medidos são mais próximos entre si, ou seja, maior consistência.
Relação entre repetibilidade e exatidão
Muitos profissionais confundem repetibilidade com exatidão, mas os dois conceitos são distintos.
Um instrumento pode ter boa repetibilidade, fornecendo sempre o mesmo valor, mas esse valor pode estar distante do verdadeiro (erro sistemático).
Por outro lado, pode ter boa exatidão em média, mas apresentar variações significativas em cada medição, indicando baixa repetibilidade.
O ideal é que o instrumento apresente boa exatidão e boa repetibilidade. Isso garante que os resultados estejam próximos do valor real e sejam consistentes a cada repetição.
Exemplos práticos de repetibilidade em diferentes instrumentos
Transmissores de pressão
Na calibração de transmissores de pressão, a repetibilidade é avaliada aplicando uma mesma pressão várias vezes. Transmissores de alta qualidade mantêm a variação em níveis muito baixos, enquanto instrumentos desgastados podem apresentar desvios significativos.
Termômetros digitais
Um termômetro digital com baixa repetibilidade pode indicar 25,0 °C, depois 25,3 °C e 24,8 °C sob as mesmas condições. Essa variabilidade compromete a confiabilidade do instrumento.
Manômetros analógicos
Devido à leitura manual e à influência do operador, manômetros analógicos tendem a apresentar menor repetibilidade do que dispositivos digitais, especialmente em faixas amplas de pressão.
Balanças de precisão
Na indústria farmacêutica, balanças são frequentemente avaliadas quanto à repetibilidade, já que pequenas variações de peso podem impactar diretamente a qualidade do produto final.
Erros comuns na interpretação da repetibilidade
Um dos erros mais frequentes é confundir repetibilidade com resolução. A resolução é o menor incremento que o instrumento consegue indicar, mas isso não significa que ele seja capaz de repetir resultados dentro desse limite.
Outro erro comum é acreditar que repetibilidade e linearidade são equivalentes. A linearidade está relacionada à capacidade do instrumento em responder proporcionalmente ao valor medido ao longo de toda a faixa de operação, enquanto a repetibilidade se restringe à consistência em condições idênticas.
Além disso, é um equívoco supor que todos os instrumentos precisam apresentar alta repetibilidade. Em algumas aplicações menos críticas, um nível moderado pode ser aceitável.
Normas e recomendações sobre repetibilidade
A avaliação da repetibilidade está presente em normas internacionais de referência, como a ISO/IEC 17025, que estabelece requisitos para competência de laboratórios de calibração e ensaio.
No Brasil, a ABNT NBR ISO/IEC 17025 orienta que a repetibilidade deve ser considerada no cálculo da incerteza e documentada nos certificados emitidos pelos laboratórios acreditados.
O Guia para a Expressão da Incerteza de Medição (GUM) também trata da repetibilidade como um dos componentes fundamentais da incerteza experimental. Por fim, a norma ABNT NBR ISO 5725 trata dos conceitos de exatidão dos métodos e resultados de medição, tratando também do conceito de repetibilidade.
Como melhorar a repetibilidade de medições?
Garantir alta repetibilidade não depende apenas do instrumento, mas também das condições em que as medições são realizadas. Algumas boas práticas incluem:
- Manter condições ambientais estáveis (temperatura, umidade, ausência de vibrações).
- Realizar manutenção preventiva nos instrumentos, evitando desgaste mecânico ou eletrônico.
- Utilizar procedimentos padronizados de calibração, reduzindo variações devidas ao operador.
- Treinar os técnicos responsáveis para garantir consistência nos métodos de medição.
Exemplo de relatório de repetibilidade em um certificado de calibração
Em um certificado de calibração emitido por laboratório acreditado, a repetibilidade pode aparecer em forma de tabela ou como parte do cálculo da incerteza expandida.
Um exemplo:
- Valor de referência: 50,000 psi.
- Leituras obtidas: 49,998 / 50,002 / 50,001 / 49,999 psi.
- Média: 50,000 psi.
- Desvio padrão das leituras: aproximadamente 0,0018 psi.
Esse resultado é apresentado junto à incerteza de medição.
Diferença entre repetibilidade e estabilidade a longo prazo
Embora relacionadas, repetibilidade e estabilidade a longo prazo não são a mesma coisa. Enquanto a repetibilidade avalia a consistência de resultados em curto prazo, a estabilidade refere-se à capacidade do instrumento de manter seu desempenho ao longo de meses ou anos.
Um instrumento pode apresentar excelente repetibilidade em medições consecutivas, mas perder estabilidade ao longo do tempo devido ao envelhecimento de componentes.
Exemplo comparativo entre instrumentos com boa e má repetibilidade
Considere dois transmissores de nível submetidos à mesma calibração:
- Transmissor A: leituras repetidas em 10,0 mA, 10,01 mA e 9,99 mA.
- Transmissor B: leituras repetidas em 10,0 mA, 10,3 mA e 9,7 mA.
O transmissor A tem melhor repetibilidade, enquanto o transmissor B demonstra maior variação entre medições repetidas. Obviamente, o transmissor A possui performance superior, porém isso não quer dizer que o transmissor B não é adequado – isso irá depender dos requisitos do processo e aplicação na qual o transmissor será utilizado.
A repetibilidade como um pilar da confiabilidade metrológica
A repetibilidade é um parâmetro fundamental para assegurar a confiabilidade das medições industriais.
Ao compreender e monitorar a repetibilidade, profissionais da área de metrologia conseguem reduzir incertezas, aumentar a confiabilidade dos processos e garantir que os instrumentos estejam aptos para uso em aplicações críticas.
A Sensycal oferece serviços de calibração acreditados ISO 17025, com detalhamento da repetibilidade e incerteza de medição dos instrumentos calibrados, garantindo que seus equipamentos estejam em conformidade com os mais altos padrões da indústria.
Entre em contato e descubra como podemos apoiar sua operação com soluções metrológicas de excelência.



